尊敬的用户,您好!

网站不支持您所使用的浏览器版本(可能会出现网页变形等问题)。为了更好地展示页面效果,请您使用以下浏览器(点击图标会跳转到相关浏览器的官方网站下载页面)。

beat365正版唯一入口必一危旧房改住房改造项目欢迎您!
您的位置: 首页 >通知公告>详细内容

通知公告

beat365正版唯一入口必一危旧房改住房改造项目关于申购非还建住房职工交纳购房意向金的通知

作者:项目办 发布时间:2021-01-22 17:29:54 浏览次数: 【字体:

 

通知!通知!

 

 

 

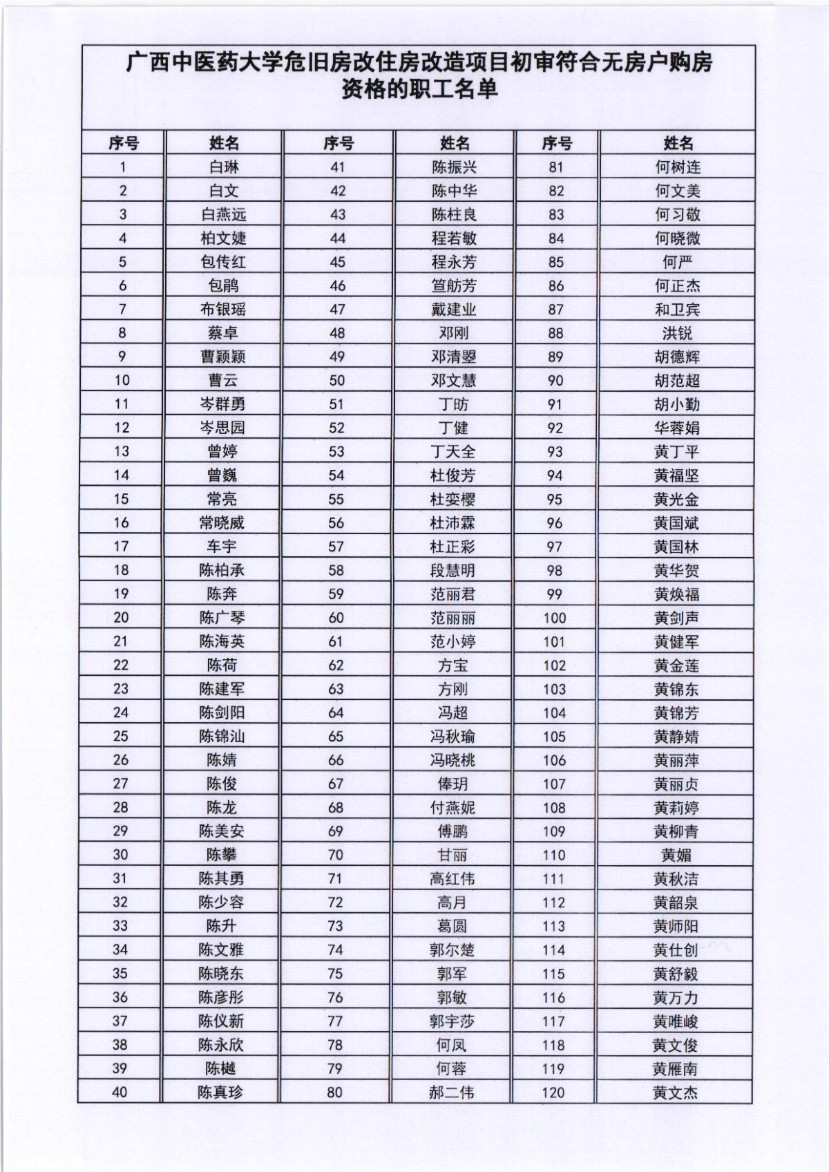
名单公布

 

 

 

 

 

 

 

 

建成后效果图

 

 

 

改造危旧住房,

建设美好家园。。

 

 

 

 

END

 

扫码关注更多项目信息

 

 

 

分享到:
【打印正文】